logo

Matematika – zákon úplné pravděpodobnosti

Zákon úplné pravděpodobnosti je důležitý pro nalezení pravděpodobnosti události. Pokud je známo, že pravděpodobnost události, která se stane, je 1, pak pro nemožnou událost bude pravděpodobně 0. Základní pravidlo v teorii pravděpodobnosti, které je propojeno s mezní pravděpodobností a podmíněná pravděpodobnost se nazývá zákon celkové pravděpodobnosti nebo věta o celkové pravděpodobnosti.

Po několika událostech je známo, že by měla být známa pravděpodobnost všech možností. The věta o celkové pravděpodobnosti je základním základem Bayeovy věty. V tomto článku jsme diskutovali o důležitých konceptech souvisejících s celkovou pravděpodobností, včetně zákon celkové pravděpodobnosti , prohlášení, důkazy a některé příklady.



Zákon úplné pravděpodobnosti

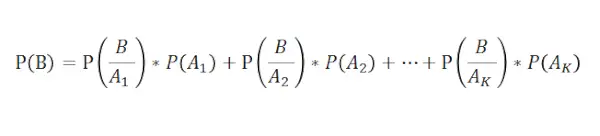
Je-li dáno n vzájemně se vylučujících jevů A1, A2, …Ak tak, že jejich součet pravděpodobností je jednotný a jejich sjednocení je prostorem událostí E, pak Ai ∩ Aj= NULL, pro všechna I se nerovná j a

A1 U A2 U ... U Ak = E>

Potom Věta o úplné pravděpodobnosti nebo zákon o úplné pravděpodobnosti, je: Zákon úplné pravděpodobnostikde B je libovolná událost a P(B/Ai) je podmíněná pravděpodobnost B za předpokladu, že A již nastala.

Důkaz věty o úplné pravděpodobnosti

Nechť A1, A2, …, Ak jsou disjunktní události, které tvoří rozdělení prostoru vzorku a předpokládají, že P(Ai)> 0, pro i = 1, 2, 3….k, takže:



A1 U A2 U A3 U ....U AK = E(Total)>

Pak pro jakoukoli událost B máme,

B = B ∩ E B = B ∩ (A1 U A2 U A3 U ....U AK)>

Jako křižovatka a Union jsou distribuční. Proto,

B = (B ∩ A1) U (B ∩ A2)U ... U(B ∩ AK)>

Protože všechny tyto oddíly jsou nesouvislé. Takže máme,



P(B ∩ A1) = P(B ∩ A1) U P(B ∩ A2)U ... U P(B ∩ AK)>

To je sčítací teorém pravděpodobností pro spojení disjunktních událostí. Použití podmíněné pravděpodobnosti

P(B / A) = P(B ∩ A) / P(A)>

Nebo podle pravidla násobení,

P(B ∩ A) = P(B / A) x P(A)>

Zde se o událostech A a B říká, že jsou nezávislé události, pokud P(B|A) = P(B), kde P(A) se nerovná nule (0),

P(A ∩ B) = P(A) * P(B)>

kde P(B|A) je podmíněná pravděpodobnost, která udává pravděpodobnost výskytu události B, když událost A již nastala. Proto,

výhody a nevýhody technologie
P(B ∩ Ai) = P(B | Ai).P(Ai) ; i = 1, 2, 3....k>

Aplikováním výše uvedeného pravidla dostaneme,

To je zákon celkové pravděpodobnosti . Zákon celkové pravděpodobnosti je také označován jako věta o celkové pravděpodobnosti nebo zákon alternativ.

Poznámka:

Zákon celkové pravděpodobnosti se používá, když neznáte pravděpodobnost události, ale znáte její výskyt v několika disjunktních scénářích a pravděpodobnost každého scénáře.

javascriptový víceřádkový řetězec

Aplikace věty o úplné pravděpodobnosti

Používá se pro hodnocení jmenovatele v Bayesova věta . Bayesova věta pro n množinu událostí je definována jako,

Ať E1, A2,…, Anbýt souborem událostí spojených se vzorovým prostorem S, ve kterém jsou všechny události E1, A2,…, Anmají nenulovou pravděpodobnost výskytu. Všechny události E1, A2,…, E tvoří dělení S. Nechť A je událost z prostoru S, pro kterou musíme najít pravděpodobnost, pak podle Bayesovy věty,

P(E i |A) = P(E i )P(A|E i ) / ∑ P(E k )P(A|E k )

pro k = 1, 2, 3, …., n

Příklad

1. Vytáhneme dvě karty z balíčku zamíchaných karet s náhradami. Najděte pravděpodobnost získání druhé karty králem.

Vysvětlení:- Nechť, A – představuje událost získání první karty krále. B – představují případ, kdy první kartou není král. E – představuje případ, že druhou kartou je král. Pak pravděpodobnost, že druhá karta bude nebo nebude králem, bude reprezentována zákonem celkové pravděpodobnosti jako:

 P(E)= P(A)P(E|A) + P(B)P(E|B)>

Kde P(E) je pravděpodobnost, že druhá karta je král, P(A) je pravděpodobnost, že první kartou je král, P(E|A) je pravděpodobnost, že druhá karta je král za předpokladu, že první karta je král, P(B) je pravděpodobnost, že první karta není král, P(E|B) je pravděpodobnost, že druhá karta je král, ale první vytažená karta není král. Podle otázky:

P(A) = 4 / 52 P(E|A) = 4 / 52 P(B) = 48 / 52 P(E|B) = 4 / 52>

Proto,

P(E) = P(A)P(E|A) + P(B)P(E|B) =(4 / 52) * (4 / 52) + (48 / 52) * (4 / 52) = 0.0769230>

Nejčastější dotazy k zákonu úplné pravděpodobnosti

Q.1: K čemu slouží celková pravděpodobnost?

Odpovědět:

Zákon celkové pravděpodobnosti se používá k výpočtu pravděpodobnosti události za předpokladu libovolného počtu souvisejících událostí. Použití Bayeova teorému k aktualizaci pravděpodobnosti hypotézy s novými důkazy.

Q.2: Je celková pravděpodobnost vždy 1?

Odpovědět:

Součet pravděpodobností všech událostí je vždy 1.

Q.3: Může být celková pravděpodobnost větší než 1?

Odpovědět:

Ne, celková pravděpodobnost nemůže být větší než 1.